警專43期複試放榜與備取遞補人員名單
警專113學年度43期複試正(備)取注意事項
複試合格正取生通訊報到及第1次遞補備取生
- 警專於113年7月29日以掛號郵寄給正取生「註冊入學通知單及通訊報到專用信封用封面」各一份,請至警專 招生資訊網頁查詢掛號郵件號碼,於113年8月2日後仍尚未收到者,請向警專教務處註冊組反映,電話:02-22396161、22396363。
- 正取生應於113年8月9日前(以郵戳為憑,至郵局普通掛號或限時掛號皆可),A4(或以上尺寸之)信封貼上本校寄發的專用封面,內將下列文件裝袋,掛號郵寄至本校辦理正取生通訊報到,逾期未寄送者,取消入學資格,由備取生遞補入學:
- 學歷證件正本(【高中職以上畢業證書】或【歷年成績單】或【修業證明書】或【主管教育機關所發資格證明書】)。
- 入學志願書正本(簽章處均要簽名及蓋私章)。
- 入學保證書正本(簽章處均要簽名及蓋私章,並須由連帶保證人戶籍所在地轄區派出所查核)。
- 「尿液篩檢同意書」(同意篩檢者寄送,不同意者免附)。
- 警專於113年8月15日公告備取生第1次遞補名單並電話通知。
- 第1次遞補備取生應於113年8月19日新生註冊入學日,攜帶學歷證件正本、入學志願書正本、入學保證書正本及「尿液篩檢同意書」(同意篩檢者繳交,不同意者免繳)等文件至本校辦理報到,逾期未報到者,取消入學資格。
上網填報個人資料:調訓回報系統(請點我)
複試放榜後,完成通訊報到之正取生,於113年8月18日17時前,利用時間至調訓回報系統,填報個人資料,作為本校學籍建檔登錄使用。
警專43期註冊入學報到注意事項
- 時間:113年8月19日(星期一)上午8時至9時止。
- 地點:警專大禮堂,親自報到。
- 報到時請攜帶註冊入學通知單及身分證或其他身分證明文件。
- 未依規定時間前來註冊者,取消入學資格,其缺額再按各組尚未遞補之備取生名次依序通知遞補,事後不得以任何理由再申請入學。
- 新生預備教育期間:113年8月19日至9月4日,新生報到入學後即須住校,開始接受新生預備教育訓練。
第2次以後之備取生遞補報到入學之通知方式
遞補名單視遞補情形隨時公布於警專招生專用網站,並以考生於報名系統上填寫之連絡電話個別通知。
備取生應於辦理遞補期間隨時留意本校網站公告及連絡電話,經電話無法聯繫且逾公告時間未報到者,取消入學資格。
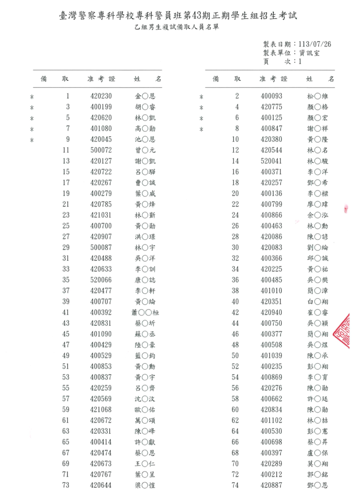
113學年警專43期複試正(備)取人員名單
以下正取名單是經歷過複試後的正取名單,也就是說:
假設初試正取700位,但有20位在複試過程中未通過,初試備取且複試合格的前20位(筆試成績)會往正取名額遞補。
剩下的備取名額會在 8/15 進行第一次遞補,其餘則在預教訓練期間遞補。
所以一定要注意警專官網與來電!
警專43期複試放榜後要做什麼?
113年7月29日
陸續收到「註冊入學通知單及通訊報到專用信封用封面」。
113年8月2日
應確認已收到郵件,未收到者需向本校教務處註冊組反映。
113年8月9日前
正取生需將以下文件裝入專用封面信封內,並以掛號郵寄至本校完成通訊報到
- 學歷證件正本(【高中職以上畢業證書】或【歷年成績單】或【修業證明書】或【主管教育機關所發資格證明書】)。
- 入學志願書正本(簽章處均要簽名及蓋私章)。
- 入學保證書正本(簽章處均要簽名及蓋私章,並須由連帶保證人戶籍所在地轄區派出所查核)。
- 「尿液篩檢同意書」(同意篩檢者寄送,不同意者免附)。
113年8月18日17:00前
正取生需至警專官網首頁 調訓回報系統(請點我) 填報個人資料,以作為學籍建檔登錄使用。
113年8月19日
正取生報到註冊,報到時間為上午8時至9時,地點為警專大禮堂。
113年8月19日至9月4
開始新生預備教育訓練,需住校。
113年8月15日
公告第1次遞補備取生名單,並電話通知遞補備取生。
113年8月18日17:00前
第1梯次遞補生需至警專官網首頁 調訓回報系統(請點我) 填報個人資料,以作為學籍建檔登錄使用。
113年8月19日
第1次遞補備取生報到註冊,報到時間為上午8時至9時,地點為本校大禮堂。
備取生需攜帶以下文件:
- 學歷證件正本
- 入學志願書正本
- 入學保證書正本
- 「尿液篩檢同意書」(同意篩檢者繳交,不同意者免繳)
113年8月19日至9月4
開始新生預備教育訓練,需住校。
113年8月20日以後
第2次及以後的備取生遞補報到通知,隨時公布於警專招生專用網站,並以電話通知。
備取生需隨時留意網站公告及保持電話聯絡暢通。
警專43期 考試類組 | 招考名額 | 警專43期 報名人數 | 錄取率 | 警專43期初試 正取錄取分數 | 警專43期初試 備取錄取分數 | 筆試備取人數 | 複試備取人數 |
甲組男生 | 717名 | 1,355 | 52.92% | 203分 | 127分 | 365名 | 115名 |
甲組女生 | 53名 | 286 | 18.53% | 291.75分 | 247分 | 75名 | 44名 |
乙組男生 | 1100名 | 2,455 | 44.81% | 213分 | 181分 | 550名 | 289名 |
乙組女生 | 150名 | 819 | 18.32% | 285分 | 255.5分 | 98名 | 50名 |



